martes, 27 de marzo de 2012

Tarea TICS - beta

Aquí están las pruebas de TICS para Didáctica de las Matemáticas que he ido haciendo.

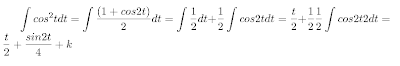
La primera de ellas es la resolución de la integral del coseno cuadrado: (Para que se vea bien he tenido que guardar la imagen en mi portátil y subirla directamente al blog)


Ahora viene la tarea de ISSUU en la que he publicado la práctica de Polya:




Para terminar está la presentación hecha con Prezzi sobre la ciencia y la epistemoligía...


2 comentarios:

  1. Prueba a hacer una entrada en la que solo tengas la ecuación, debería de verse la ecuación con fondo blanco.

    Yo creo que el problema esta en la cantidad de HTML, que has metido.

    El video final de Prezi, muy bueno.

    ResponderEliminar